Skip to main page content
HOME
ABOUT
SUBJECT CATEGORIES
ARCHIVE
SUBSCRIBE
ADVERTISE
FEEDBACK
HELP
Search for Keyword:
GO
Advanced Search
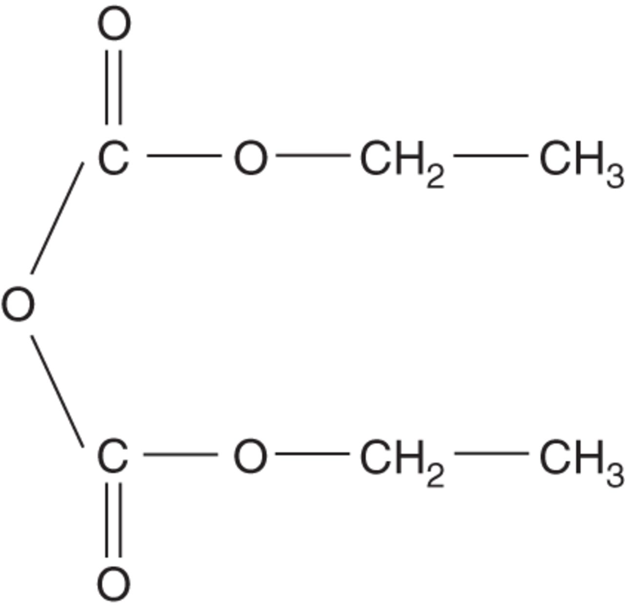
Figure 1.
Structure of diethylpyrocarbonate.
CiteULike
Delicious
Digg
Facebook
Google+
Reddit
Twitter
What's this?
This Article
Cold Spring Harb Protoc
2019.
2019:
pdb.top101857-
Abstract
Full Text
Full Text (PDF)
Current Issue
January 2026, 2026 (1)
From the cover
Crystal structure of a rabbit antibody bound to its human antigen (PDB: 6OSH)
Featured Articles
Subject Categories
Recipes
Archive by Date
Alerts and RSS Feeds
Recommend to Your Library
Permissions